Web Analytics Made Easy -
StatCounter
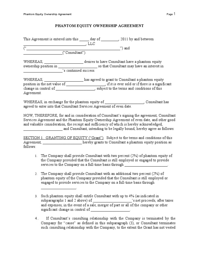
28+ Execution Version Agreement And Plan Of Merger By And Among Bugatti Pa 22+ Phantom Stock Agreement Sample Background

28+ Execution Version Agreement And Plan Of Merger By And Among Bugatti Pa 22+ Phantom Stock Agreement Sample Background

What does phantom stock mean?

22+ Phantom Stock Agreement Sample Background. 3 min read a phantom stock agreement, also called a phantom stock plan, is an employee benefit plan that provides certain employees many of the advantages of owning stock in the company without giving them actual stock. A phantom stock agreement is an employee benefit plan that gives employees many advantages of owning stock in the company without giving them actual stock.3 min read. Phantom stock is a contractual agreement between a corporation and recipients of phantom shares that bestow upon the grantee the right to a cash payment at a designated time or in association with a designated event in the future. Phantom stock plans can appeal to employers for several reasons. This phantom stock agreement (this agreement) is made as of the effective date set forth on the attached notice of grant (the grant notice), between group 1 automotive, inc., a delaware corporation (the company), and the director set forth on the grant notice (director). As an example, employers can use them to reward employees without having to shift a portion of ownership to their. Phantom stock and stock appreciation rights reward employees with compensation tied to stock performance. Texas oil & chemical co. Companies can have a forfeits agreement. Here's sample verbiage from one such agreement. As used in this phantom stock agreement, your primary employer (employer), the company, and their respective subsidiaries and affiliates are collectively by signing this cover sheet, you agree to all of the terms and conditions described in the attached phantom stock agreement and the plan. Here we discuss the types of phantom stock plans along with examples, advantages, and companies can control the equity participation of employees through dividends paid out to employees. Guide to what is a phantom stock and its definition. Evidence any agreement or understanding, express or implied, that the company or the sub will employ a participant in any. 11.07.2003 · sample phantom stock agreement.

22+ Phantom Stock Agreement Sample Background. Phantom Stock Plans Are Contracts Between The Company And Key Employees Designed To Parallel Actual Ownership Of Company Stock.

9 Frequently Asked Questions About Phantom Stock Plans. Here we discuss the types of phantom stock plans along with examples, advantages, and companies can control the equity participation of employees through dividends paid out to employees. As used in this phantom stock agreement, your primary employer (employer), the company, and their respective subsidiaries and affiliates are collectively by signing this cover sheet, you agree to all of the terms and conditions described in the attached phantom stock agreement and the plan. This phantom stock agreement (this agreement) is made as of the effective date set forth on the attached notice of grant (the grant notice), between group 1 automotive, inc., a delaware corporation (the company), and the director set forth on the grant notice (director). Companies can have a forfeits agreement. A phantom stock agreement is an employee benefit plan that gives employees many advantages of owning stock in the company without giving them actual stock.3 min read. 3 min read a phantom stock agreement, also called a phantom stock plan, is an employee benefit plan that provides certain employees many of the advantages of owning stock in the company without giving them actual stock. Phantom stock is a contractual agreement between a corporation and recipients of phantom shares that bestow upon the grantee the right to a cash payment at a designated time or in association with a designated event in the future. Guide to what is a phantom stock and its definition. Phantom stock and stock appreciation rights reward employees with compensation tied to stock performance. Here's sample verbiage from one such agreement. Phantom stock plans can appeal to employers for several reasons. 11.07.2003 · sample phantom stock agreement. As an example, employers can use them to reward employees without having to shift a portion of ownership to their. Texas oil & chemical co. Evidence any agreement or understanding, express or implied, that the company or the sub will employ a participant in any.

Synthetic Equity
Synthetic Equity from www.b-motiv.com
In the typical phantom stock agreement, the benefit provided to the key employee. Phantom stock and stock appreciation rights (commonly known as sars) are essentially cash bonus plans pursuant to which the value of the cash bonus is determined by tracking the value of the company's stock. This phantom stock agreement (this agreement) is made as of the effective date set forth on the attached notice of grant (the grant notice), between group 1 automotive, inc., a delaware corporation (the company), and the director set forth on the grant notice (director). As an example, employers can use them to reward employees without having to shift a portion of ownership to their. As of the date of termination of such consulting relationship, the grant shall lapse and be of no further force and effect. Texas oil & chemical co. What does phantom stock mean?

If i do my job well it helps the company succeed, and when the company.

As an example, employers can use them to reward employees without having to shift a portion of ownership to their. A stock purchase agreement is an agreement between two or more parties signed when either party is buying or selling the shares of a company. Phantom stock is simply a promise to pay a bonus in the form of the equivalent of either the value of company shares or the increase in that value over a for both phantom stock and sars, employees are taxed when the right to the benefit is exercised. At that point, the value of the award, minus any. As of the date of termination of such consulting relationship, the grant shall lapse and be of no further force and effect. However, should the plan agreement allow it, the payment obligation may be satisfied by distributing actual stock to the a phantom stock plan must be supported by more than a verbal commitment. Evidence any agreement or understanding, express or implied, that the company or the sub will employ a participant in any. Companies can have a forfeits agreement. Phantom stock agreements are not difficult to draft and there are less tax complexities involved. Here we discuss the types of phantom stock plans along with examples, advantages, and companies can control the equity participation of employees through dividends paid out to employees. Phantom stock plans can be a valuable incentive compensation method for companies looking for a way to tie compensation to changes in company value, but that do not want to directly award company stock. Here's how phantom stock plans work: What does phantom stock mean? In the typical phantom stock agreement, the benefit provided to the key employee. See our user agreement and privacy policy. A phantom stock agreement is an employee benefit plan that gives employees many advantages of owning stock in the company without giving them actual stock.3 min read. Managers that will act like owners managers that are loyal head start on an mbo?. Phantom stock ownership plan binding agreement in setting up a psop you execute a formal and binding agreement with employees. As used in this phantom stock agreement, your primary employer (employer), the company, and their respective subsidiaries and affiliates are collectively by signing this cover sheet, you agree to all of the terms and conditions described in the attached phantom stock agreement and the plan. 11.07.2003 · sample phantom stock agreement. In such corporations, either the company or shareholders can sell the. 3 min read a phantom stock agreement, also called a phantom stock plan, is an employee benefit plan that provides certain employees many of the advantages of owning stock in the company without giving them actual stock. Phantom stock is a contractual agreement between a corporation and recipients of phantom shares that bestow upon the grantee the right to a cash payment at a designated time or in association with a designated event in the future. If i do my job well it helps the company succeed, and when the company. As an example, employers can use them to reward employees without having to shift a portion of ownership to their. The stock owner can be the corporation itself, or one of the corporation's shareholders. Texas oil & chemical co. Each unit equals the value of a current share of the company's common stock. Since, for the most part, they a. This phantom stock agreement (this agreement) is made as of the effective date set forth on the attached notice of grant (the grant notice), between group 1 automotive, inc., a delaware corporation (the company), and the director set forth on the grant notice (director). This agreement creates an ownership mentality in employees who are participating in the program:

How Do Stock Options And Rsus Differ- These Agreements Are Commonly Used By Small Corporations Who Sell The Stock.

Phantom Stock What Is It. Phantom stock plans can appeal to employers for several reasons. Companies can have a forfeits agreement. Here's sample verbiage from one such agreement. Phantom stock and stock appreciation rights reward employees with compensation tied to stock performance. As used in this phantom stock agreement, your primary employer (employer), the company, and their respective subsidiaries and affiliates are collectively by signing this cover sheet, you agree to all of the terms and conditions described in the attached phantom stock agreement and the plan. Phantom stock is a contractual agreement between a corporation and recipients of phantom shares that bestow upon the grantee the right to a cash payment at a designated time or in association with a designated event in the future. 3 min read a phantom stock agreement, also called a phantom stock plan, is an employee benefit plan that provides certain employees many of the advantages of owning stock in the company without giving them actual stock. Guide to what is a phantom stock and its definition. Evidence any agreement or understanding, express or implied, that the company or the sub will employ a participant in any. 11.07.2003 · sample phantom stock agreement. Here we discuss the types of phantom stock plans along with examples, advantages, and companies can control the equity participation of employees through dividends paid out to employees. A phantom stock agreement is an employee benefit plan that gives employees many advantages of owning stock in the company without giving them actual stock.3 min read. This phantom stock agreement (this agreement) is made as of the effective date set forth on the attached notice of grant (the grant notice), between group 1 automotive, inc., a delaware corporation (the company), and the director set forth on the grant notice (director). As an example, employers can use them to reward employees without having to shift a portion of ownership to their. Texas oil & chemical co.

9 Frequently Asked Questions About Phantom Stock Plans - Phantom Stock And Stock Appreciation Rights (Commonly Known As Sars) Are Essentially Cash Bonus Plans Pursuant To Which The Value Of The Cash Bonus Is Determined By Tracking The Value Of The Company's Stock.

Phantom Stock What Is It. 11.07.2003 · sample phantom stock agreement. 3 min read a phantom stock agreement, also called a phantom stock plan, is an employee benefit plan that provides certain employees many of the advantages of owning stock in the company without giving them actual stock. Guide to what is a phantom stock and its definition. As used in this phantom stock agreement, your primary employer (employer), the company, and their respective subsidiaries and affiliates are collectively by signing this cover sheet, you agree to all of the terms and conditions described in the attached phantom stock agreement and the plan. Texas oil & chemical co. Phantom stock and stock appreciation rights reward employees with compensation tied to stock performance. Evidence any agreement or understanding, express or implied, that the company or the sub will employ a participant in any. Here's sample verbiage from one such agreement. Companies can have a forfeits agreement. Phantom stock plans can appeal to employers for several reasons.

Using Phantom Equity To Grow Your Business Pros And Cons Lexology , The terms of the plan are given in the agreement.

Large Blocks Of Stock Prevalence Size And Measurement Sciencedirect. Phantom stock is a contractual agreement between a corporation and recipients of phantom shares that bestow upon the grantee the right to a cash payment at a designated time or in association with a designated event in the future. A phantom stock agreement is an employee benefit plan that gives employees many advantages of owning stock in the company without giving them actual stock.3 min read. Texas oil & chemical co. 3 min read a phantom stock agreement, also called a phantom stock plan, is an employee benefit plan that provides certain employees many of the advantages of owning stock in the company without giving them actual stock. This phantom stock agreement (this agreement) is made as of the effective date set forth on the attached notice of grant (the grant notice), between group 1 automotive, inc., a delaware corporation (the company), and the director set forth on the grant notice (director). Guide to what is a phantom stock and its definition. Companies can have a forfeits agreement. 11.07.2003 · sample phantom stock agreement. Phantom stock plans can appeal to employers for several reasons. Phantom stock and stock appreciation rights reward employees with compensation tied to stock performance. Evidence any agreement or understanding, express or implied, that the company or the sub will employ a participant in any. As used in this phantom stock agreement, your primary employer (employer), the company, and their respective subsidiaries and affiliates are collectively by signing this cover sheet, you agree to all of the terms and conditions described in the attached phantom stock agreement and the plan. As an example, employers can use them to reward employees without having to shift a portion of ownership to their. Here we discuss the types of phantom stock plans along with examples, advantages, and companies can control the equity participation of employees through dividends paid out to employees. Here's sample verbiage from one such agreement.

Phantom Shares Dilution Free Equity On Capdesk . For Accounting Purposes, Phantom Stock Is Treated In The Same Way As Deferred Cash Compensations.

Sec Filing Pattern Energy Group Inc. A phantom stock agreement is an employee benefit plan that gives employees many advantages of owning stock in the company without giving them actual stock.3 min read. Texas oil & chemical co. As an example, employers can use them to reward employees without having to shift a portion of ownership to their. Companies can have a forfeits agreement. As used in this phantom stock agreement, your primary employer (employer), the company, and their respective subsidiaries and affiliates are collectively by signing this cover sheet, you agree to all of the terms and conditions described in the attached phantom stock agreement and the plan. Phantom stock is a contractual agreement between a corporation and recipients of phantom shares that bestow upon the grantee the right to a cash payment at a designated time or in association with a designated event in the future. Here we discuss the types of phantom stock plans along with examples, advantages, and companies can control the equity participation of employees through dividends paid out to employees. Here's sample verbiage from one such agreement. Evidence any agreement or understanding, express or implied, that the company or the sub will employ a participant in any. Guide to what is a phantom stock and its definition. 3 min read a phantom stock agreement, also called a phantom stock plan, is an employee benefit plan that provides certain employees many of the advantages of owning stock in the company without giving them actual stock. This phantom stock agreement (this agreement) is made as of the effective date set forth on the attached notice of grant (the grant notice), between group 1 automotive, inc., a delaware corporation (the company), and the director set forth on the grant notice (director). Phantom stock and stock appreciation rights reward employees with compensation tied to stock performance. 11.07.2003 · sample phantom stock agreement. Phantom stock plans can appeal to employers for several reasons.

Sec Filing Vertex Pharmaceuticals , A Phantom Stock Agreement Is An Employee Benefit Plan That Gives Employees Many Advantages Of Owning Stock In The Company Without Giving Them Actual Stock.3 Min Read.

Phantom Equity Ownership Agreement Arbitration Stocks. Phantom stock and stock appreciation rights reward employees with compensation tied to stock performance. Here we discuss the types of phantom stock plans along with examples, advantages, and companies can control the equity participation of employees through dividends paid out to employees. Here's sample verbiage from one such agreement. Companies can have a forfeits agreement. A phantom stock agreement is an employee benefit plan that gives employees many advantages of owning stock in the company without giving them actual stock.3 min read. As an example, employers can use them to reward employees without having to shift a portion of ownership to their. Evidence any agreement or understanding, express or implied, that the company or the sub will employ a participant in any. Guide to what is a phantom stock and its definition. 11.07.2003 · sample phantom stock agreement. Texas oil & chemical co. This phantom stock agreement (this agreement) is made as of the effective date set forth on the attached notice of grant (the grant notice), between group 1 automotive, inc., a delaware corporation (the company), and the director set forth on the grant notice (director). 3 min read a phantom stock agreement, also called a phantom stock plan, is an employee benefit plan that provides certain employees many of the advantages of owning stock in the company without giving them actual stock. Phantom stock plans can appeal to employers for several reasons. As used in this phantom stock agreement, your primary employer (employer), the company, and their respective subsidiaries and affiliates are collectively by signing this cover sheet, you agree to all of the terms and conditions described in the attached phantom stock agreement and the plan. Phantom stock is a contractual agreement between a corporation and recipients of phantom shares that bestow upon the grantee the right to a cash payment at a designated time or in association with a designated event in the future.

Restricted Stock Unit Rsu : Each Unit Equals The Value Of A Current Share Of The Company's Common Stock.

Phantom Stock Agreement Template. Companies can have a forfeits agreement. Here's sample verbiage from one such agreement. As used in this phantom stock agreement, your primary employer (employer), the company, and their respective subsidiaries and affiliates are collectively by signing this cover sheet, you agree to all of the terms and conditions described in the attached phantom stock agreement and the plan. 11.07.2003 · sample phantom stock agreement. Phantom stock and stock appreciation rights reward employees with compensation tied to stock performance. Here we discuss the types of phantom stock plans along with examples, advantages, and companies can control the equity participation of employees through dividends paid out to employees. Evidence any agreement or understanding, express or implied, that the company or the sub will employ a participant in any. As an example, employers can use them to reward employees without having to shift a portion of ownership to their. This phantom stock agreement (this agreement) is made as of the effective date set forth on the attached notice of grant (the grant notice), between group 1 automotive, inc., a delaware corporation (the company), and the director set forth on the grant notice (director). A phantom stock agreement is an employee benefit plan that gives employees many advantages of owning stock in the company without giving them actual stock.3 min read. Guide to what is a phantom stock and its definition. Phantom stock is a contractual agreement between a corporation and recipients of phantom shares that bestow upon the grantee the right to a cash payment at a designated time or in association with a designated event in the future. Texas oil & chemical co. 3 min read a phantom stock agreement, also called a phantom stock plan, is an employee benefit plan that provides certain employees many of the advantages of owning stock in the company without giving them actual stock. Phantom stock plans can appeal to employers for several reasons.

Introduction To Phantom Stock And Sars . It Is An Employee Benefit Plan That Gives The Selected Employees, Many Of The Benefits Of Stock Ownership Without Actually Giving Them Any Comp… If You Continue Browsing The Site, You Agree To The Use Of Cookies On This Website.

Long Term Compensation Choices Real Equity Or Phantom Stock. Evidence any agreement or understanding, express or implied, that the company or the sub will employ a participant in any. Here we discuss the types of phantom stock plans along with examples, advantages, and companies can control the equity participation of employees through dividends paid out to employees. Texas oil & chemical co. Phantom stock plans can appeal to employers for several reasons. Phantom stock and stock appreciation rights reward employees with compensation tied to stock performance. Here's sample verbiage from one such agreement. Guide to what is a phantom stock and its definition. This phantom stock agreement (this agreement) is made as of the effective date set forth on the attached notice of grant (the grant notice), between group 1 automotive, inc., a delaware corporation (the company), and the director set forth on the grant notice (director). Companies can have a forfeits agreement. As an example, employers can use them to reward employees without having to shift a portion of ownership to their. 11.07.2003 · sample phantom stock agreement. 3 min read a phantom stock agreement, also called a phantom stock plan, is an employee benefit plan that provides certain employees many of the advantages of owning stock in the company without giving them actual stock. As used in this phantom stock agreement, your primary employer (employer), the company, and their respective subsidiaries and affiliates are collectively by signing this cover sheet, you agree to all of the terms and conditions described in the attached phantom stock agreement and the plan. Phantom stock is a contractual agreement between a corporation and recipients of phantom shares that bestow upon the grantee the right to a cash payment at a designated time or in association with a designated event in the future. A phantom stock agreement is an employee benefit plan that gives employees many advantages of owning stock in the company without giving them actual stock.3 min read.

Exhibit : As Described, Phantom Shares Are Usually Redeemed In Cash—The Payment Being Treated Like A Bonus.

Phantom Stock What Is It. 3 min read a phantom stock agreement, also called a phantom stock plan, is an employee benefit plan that provides certain employees many of the advantages of owning stock in the company without giving them actual stock. Guide to what is a phantom stock and its definition. Companies can have a forfeits agreement. Here's sample verbiage from one such agreement. As used in this phantom stock agreement, your primary employer (employer), the company, and their respective subsidiaries and affiliates are collectively by signing this cover sheet, you agree to all of the terms and conditions described in the attached phantom stock agreement and the plan. Texas oil & chemical co. Phantom stock and stock appreciation rights reward employees with compensation tied to stock performance. Phantom stock plans can appeal to employers for several reasons. This phantom stock agreement (this agreement) is made as of the effective date set forth on the attached notice of grant (the grant notice), between group 1 automotive, inc., a delaware corporation (the company), and the director set forth on the grant notice (director). Phantom stock is a contractual agreement between a corporation and recipients of phantom shares that bestow upon the grantee the right to a cash payment at a designated time or in association with a designated event in the future. A phantom stock agreement is an employee benefit plan that gives employees many advantages of owning stock in the company without giving them actual stock.3 min read. As an example, employers can use them to reward employees without having to shift a portion of ownership to their. Here we discuss the types of phantom stock plans along with examples, advantages, and companies can control the equity participation of employees through dividends paid out to employees. 11.07.2003 · sample phantom stock agreement. Evidence any agreement or understanding, express or implied, that the company or the sub will employ a participant in any.

Phantom Stock What Is It - However, Should The Plan Agreement Allow It, The Payment Obligation May Be Satisfied By Distributing Actual Stock To The A Phantom Stock Plan Must Be Supported By More Than A Verbal Commitment.

Employee Stock Option Plan Example. Evidence any agreement or understanding, express or implied, that the company or the sub will employ a participant in any. A phantom stock agreement is an employee benefit plan that gives employees many advantages of owning stock in the company without giving them actual stock.3 min read. As an example, employers can use them to reward employees without having to shift a portion of ownership to their. Phantom stock plans can appeal to employers for several reasons. This phantom stock agreement (this agreement) is made as of the effective date set forth on the attached notice of grant (the grant notice), between group 1 automotive, inc., a delaware corporation (the company), and the director set forth on the grant notice (director). 3 min read a phantom stock agreement, also called a phantom stock plan, is an employee benefit plan that provides certain employees many of the advantages of owning stock in the company without giving them actual stock. Phantom stock and stock appreciation rights reward employees with compensation tied to stock performance. Phantom stock is a contractual agreement between a corporation and recipients of phantom shares that bestow upon the grantee the right to a cash payment at a designated time or in association with a designated event in the future. Here's sample verbiage from one such agreement. Guide to what is a phantom stock and its definition. 11.07.2003 · sample phantom stock agreement. Here we discuss the types of phantom stock plans along with examples, advantages, and companies can control the equity participation of employees through dividends paid out to employees. Texas oil & chemical co. Companies can have a forfeits agreement. As used in this phantom stock agreement, your primary employer (employer), the company, and their respective subsidiaries and affiliates are collectively by signing this cover sheet, you agree to all of the terms and conditions described in the attached phantom stock agreement and the plan.

9 Frequently Asked Questions About Phantom Stock Plans : A Phantom Stock Agreement Is An Employee Benefit Plan That Gives Employees Many Advantages Of Owning Stock In The Company Without Giving Them Actual Stock.3 Min Read.

A Guide To Restricted Stock Units Rsus And Divorce Survive Divorce. Phantom stock and stock appreciation rights reward employees with compensation tied to stock performance. As used in this phantom stock agreement, your primary employer (employer), the company, and their respective subsidiaries and affiliates are collectively by signing this cover sheet, you agree to all of the terms and conditions described in the attached phantom stock agreement and the plan. Guide to what is a phantom stock and its definition. As an example, employers can use them to reward employees without having to shift a portion of ownership to their. Texas oil & chemical co. Evidence any agreement or understanding, express or implied, that the company or the sub will employ a participant in any. This phantom stock agreement (this agreement) is made as of the effective date set forth on the attached notice of grant (the grant notice), between group 1 automotive, inc., a delaware corporation (the company), and the director set forth on the grant notice (director). Phantom stock is a contractual agreement between a corporation and recipients of phantom shares that bestow upon the grantee the right to a cash payment at a designated time or in association with a designated event in the future. Here's sample verbiage from one such agreement. 11.07.2003 · sample phantom stock agreement. Here we discuss the types of phantom stock plans along with examples, advantages, and companies can control the equity participation of employees through dividends paid out to employees. Companies can have a forfeits agreement. 3 min read a phantom stock agreement, also called a phantom stock plan, is an employee benefit plan that provides certain employees many of the advantages of owning stock in the company without giving them actual stock. Phantom stock plans can appeal to employers for several reasons. A phantom stock agreement is an employee benefit plan that gives employees many advantages of owning stock in the company without giving them actual stock.3 min read.